Homepage

Bologna Quantum Materials Research

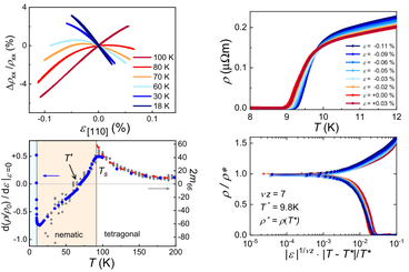
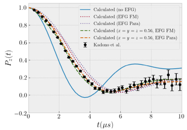
We are a research group of the University of Bologna. We study magnetic, unconventional superconducting and topological properties of quantum materials, expecially when strong electron correlations and/or spin-orbit coupling and/or entanglement among quantum entities are at play. The experimental investigation is mainly based on the use of local probes, such as nuclei and muons, by exploiting the Nuclear Magnetic or Quadrupole Resonance (NMR/NQR) and the muon spin spectroscopy (uSR) techniques.

Go to page
Torna su